Андрогенная активность стероидов, их биохимия и физиологические свойства

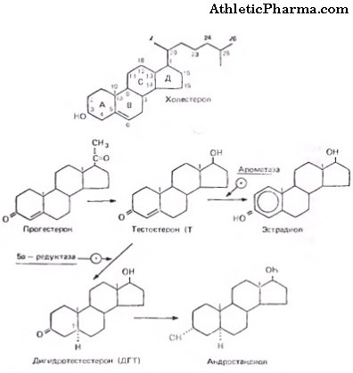
На рисунке изображена общая схема биосинтеза тестостерона (андроген).
На рисунке изображена общая схема биосинтеза, которым обладает тестостерон.
Тестостерон, синтезируемый со скоростью 7 мг в сутки в организм человека, является основным гормональным продуктом клеток Лейдига. Холестерол, являющийся, по сути, предшественником тестостерона, храниться опять же в клетках Лейдига. В липидных каплях. 5а-дигидротестостерон, основным источником, которого являются клетки Сертоли, так же синтезируется хоть и в небольшом количестве в семенниках.
Тестостерон, точнее его синтез в организме развитого мужского плода ХГ стимулируется с помощью ГСИК или гипофизарного ЛГ. Рецепторы же ЛГ или ХГ на клеточной мембране клеток Лейдига, способны столь сильно связать гормон, что их можно пользовать в качестве высокочувствительного метода определения гонадотропинов, радиолигандного метода. Во время воздействия ХГ и ЛГ, так же способен провялятся эффект резервных рецепторов, т.к. максимальный синтез тестостерона возможен лишь при использовании небольшого количества рецепторов. Стероидогенез, активируется лишь в случае, невозможности увеличения концентрации цАМФ. Однако уже при выявлении внутриклеточного числа участков отвечающих за связывание цАМФ можно понять, что дозы ЛГ, действенно запускающие стероидогенез, воздействуют и на цАМФ, т.е. на зависимую протеинкиназу.
Андрогенная активность, воздействие ЛГ, способное активировать киназу, в целом схоже с процессом стимуляции секреции глюкокортикоидов в надпочечниках. Как и другие клетки, отвечающие за синтез тестостерона, клетки Лейдига сохраняют предшествующую вариацию гормона в виде эфиров холестерола, а затем данный эфир конверсируют в уже готовый к использованию организмом гормон. Кроме того, в семенниках вырабатывается не только тестостерон, так же там синтезируются небольшие массы эстрогенов. Как итог: эстрогены и андрогены производятся в одном месте, по крайней мере, их некоторая часть. В следствии же ароматазной реакции, клетки Сертоли под воздействием ФСГ, способны конвертировать андрогены из первоисточника – эстрогена. Продукция, синтез таких веществ нашего организма, как андрогены, ингибируется в самих семенниках продукцией эстрогенов, как паракринным, так и аутокринным путем.
Андрогенная активность не прекращается никогда. В организме же мужчины, точнее в его крови, находится лишь малая часть эстрогенов производимых семенниками. Большая их часть попадает в кровь путем метаболизма из андрогенов. Доказано, что данный процесс, а именно ароматизация стероидных веществ с дальнейшим синтезом эстрогенов происходит не только в гонадах, но и в нескольких других тканях, например в жировой ткани мужчины.
Тестостерон, сродни иным растворимым в жиру гормонам движется по крови с помощью специальных белков, производимых в печени, имя данному белку глобулин. Это тот же самый белок, отвечающий за транспортировку эстрогенов. Сходство же тестостерона со связывающим его глобулином состоит в том, что на всю свободную массу данных веществ приходится лишь 3% содержащихся в крови. В любом случае уровень свободного гормона не может быть адекватно измерен с помощью его массы циркулирующей в крови человека.
Синтез андрогенов весьма специфичен. Так, например, тестостерон, прошедший метаболизм, как и многие другие гормоны, конвертируется в соединения, обладающие активностью, именуемой малая андрогинная активность. Данный соединения покидают организм человека, как 17-кетостероиды или 17-КС.

На данном рисунке изображены все источники 17-кетостероидов, так же там отмечено, что лишь 30% от их общего количества обладают тестикулярным происхождением. Однако этот вовсе не означает, что женщины, чья экскреция КС лишь на 30% уступает мужчинам, так же на треть слабее подвержены воздействию а. веществ.
Андрогены: синтетические аналоги тестостерона
Тестостерон сравнительно быстро метаболируется печень вследствие чего, данный гормон обладает ограниченным значением в виде перорального средства заместительного лечения или терапии. Эфиры же тестостерона обладают более долгим периодом жизни, что является первым различием между ними и их первоисточником тестостероном. Однако даже такие долго действующие препараты приходиться назначать в лучшем случае в виде подкожных пилюль. В случае же с 17-метиловым эфиром, лучение может быть назначено перорально.
Однако даже это не освобождает пациента от рисков, таких как желтуха или холестаз. В качестве же препарата для заместительной терапии, лучшим вариантом являются парентеральные гормональные эфиры. Антиандрогены обладают способностью соединяться с рецепторами, что в свою очередь приводит к уже описанному мною связыванию натуральных гормонов. Однако, в этом случае, антиандрогены не ответственны за протекающие биологические реакции. Такой тип веществ неплохо зарекомендовал себя в выявлении значения андрогенов в различных физиологических процессах.
Именно тот факт, что 3Н-тестостерон был обнаружен в ядрах клеток, в виде дигидротестостерона, заставил многих ученых с голову погрузиться в исследования, итогом которых стало доказательство факта – тканях зависимых от андрогенных веществ, тестостерон воздействует в виде одной из своих производных, в виде ДГТ. У полностью здоровых мужчин, наблюдается малое содержание в крови ДГТ, т.к. он синтезируется непосредственно в особо подверженных или чувствительных клетках.
Исследования, проводимые на крысах, показали, что у кастрированных особей мужского пола, наблюдается активность ДГТ, даже превосходящая активность естественного тестостерона. Все это служит, как примером, так и доказательством, активации воздействия гормона тканями-мишенями. Другой путь метаболизма, которым обладает андроген тестостерон, состоит в его ароматизации с дальнейшей секрецией эстрогена. Эта реакция является особенно важной, в частности она важна для клеток ЦНС, вовлеченных в регуляцию полового поведения.

Андрогены и терапия их дефицита
Уже давно известно, что о воздействии андрогенов можно узнать больше, вызвав их диффицит в организме мужчины, например, в организме подростка в период полового созревания. Структурами, относящимися в группу первичных половых, являются, как сами гонады, так и связанные с ними протоки и железы. Развитие всех этих компонентов целиком и полностью зависит от активности, которой обладают андрогены.
Вторичные же половые признаки, у некоторых видов животных выражены куда больше, чем у человека, например рога у оленя или хвост у павлина и т.д., данную особенность заметил еще сам Дарвин. Недостаточность таких веществ, как андрогены в мужском организме способна привести к прекращению развития вторичных половых признаков. Так у людей подверженных кастрации в юном возрасте, с развитием организма фактически останавливается развитие вторичных половых признаков.
Продукты андрогены обладают одним примечательным свойством, а именно стимулирующим действием, направленным на сальные железы, что в свою очередь при внешнем увеличении числа гормонов может привести к повышению жирности кожи или к патологическим угрям. Так у кастрированных мужчин, данные недуги не наблюдаются. Хотя с другой стороны, данные дефекты способны провялятся, не только у мужчин, но и у женщин или у людей, получающих в качестве лечения завышенных дозы андрогенов, к примеру, кортизола. Объяснение этому есть, угри у женщин чаще всего проявляются в период менопаузы, когда секреция андрогенов женским организмом завышена. То же самое относится и к другим вторичным половым признакам, например к тембру голоса. Так повышенные дозы, которыми вводятся андрогены, способны вызвать снижение тембра голоса, как у женщин, так и у евнухоидных мужчин.
Кроме того, анаболические стероиды и андрогены оказывают немалое воздействие на развитие скелета. Так мальчики с недостатком андрогенов в период пубертатного развития, могут значительно прибавить в росте. Объясняется это повышенной секрецией ГР – гормона роста, как следствием понижения синтеза естественных андрогенов в организме. Обратная сторона данной особенности, которой обладают андрогены, заключается в том, что парни с повышенным количеством андрогенов наоборот, могут отличаться от своих ровесников низким, а зачастую даже карликовым ростом.
Кроме того андрогены напрямую влияют на развитие мышечной ткани. При их недостатке у юношей недостаточен и рост мышечной массы и наоборот. Так у евнухоидных мужчин, общее количество мышечной массы гораздо меньше, чем у некастрированных мужчин. У женщин данная особенность может повлиять на скопление жировых отложений, в частности районе бедер и живота.
Действие андрогенов: клеточный механизм их воздействия
Большая часть исследований направленных на изучение механизма клеточного действия андрогенов, проводилась на семенниках и предстательной железе крыс. Именно по этой причине данные таких исследований ни в коем случае нельзя применять к тем тканям, в которых 5а-ДГТ не является непосредственной формой тестостерона, гормона. Хотя данные и совпадают с теорий работы стероидных гормонов, все же действие андрогенов на клетки предстательной железы, до конца не изучено, а имеющиеся данные в большей степени не подтверждены.
Однако процессы, протекающие в предстательной желез, когда идет действие андрогенов, могут быть разъяснены с помощью описания последствий кастрации, т.е. с уменьшением синтеза андрогенов. Через 24 часа после кастрации, содержание ДГТ в предстательной железе падает до нуля, тогда как через 12 часов после кастрации его содержание падает лишь вдвое, что может исправить действие андрогенов. Также синтез РНК снижается в два раза, уже через 18 часов, а через 4 дня вовсе останавливается на отметке 20% от первоначального показателя. Так же и белки входящие в состав РНК, вдвое обрезаются по количеству уже на 3-4 сутки.
Добавление же такого гормона, как тестостерон, к клеткам, ощущающим в нем особую недостаточность, способно вернуть все эти показатели в норму. В первую очередь стоит отметить стабилизацию уровня ДГТ в ядрах клеток.
Андрогенная активность и половое поведение
Большая часть животного мира обладает стереотипным мышлением и как следствие половым поведением, на которое влияют андрогены. Так у крыс подверженных кастрации в неполовозрелом возрасте, половая активность не наблюдается вовсе. Кастрация же крыс уже прошедших период созревания, лишь изменяет их модель полового поведения, причем происходит это всегда по одной и той же цепочке последовательности – исчезновение эякуляции, затем исчезновение спаривания, затем исчезновение попыток к спариванию.
Однако в случаи крыс, половое поведение можно вернуть в норму, благодаря стимуляции андрогенами, однако для этого потребуются большие, если не сказать больше дозы препарата тестостерон. Здесь следует отметить, что у человека, связь между таким гормоном как тестостерон в крови и половым поведением фактически отсутствует. Почему фактически, потому что, установлено, что тестостерон способен компенсировать недостатки в половом поведении путем конвертации себя в эстрадиол, в нейронах. ДГТ без эстрогенов, как и эстрогены без ДГТ, порознь не способны восстановить половое поведение, однако в сумме они дают результаты схожие с результатами при воздействии стероида тестостерон.
Андрогены – тема обсуждаемая постоянно, причем не только в спорте, но и в науке. Сегодня усиленно муссируется вопрос взаимосвязи недостатка андрогенов и гомосексуализма. Существует две теории возникновения гомосексуализма. Первая – гомосексуализм, это последствие недостаточности андрогенов в организме человека, в период развития мозга. Вторая – Сексуальные предпочтения не зависят от таких веществ, как андрогены, они основываются лишь на воспитании и психологии. Не одна из версий не является полностью верной, поскольку еще во времена постоянных споров на тему природы и воспитания, выяснилось, что сторонники обоих фракцией имеют, как плюсы, так и минусы в рукаве. Однако считается, что ситуационные факторы или факторы поведения, способны влиять на выделение ГнРГ, ингибируя или наоборот увеличивая его производство, тем самым напрямую воздействуя на уровень тестостерона в организме. Кстати, вы можете купить самые лучшие анаболические андрогенные препараты в нашем магазине, например Тестостерон Пропионат можно купить легко, быстро и надежно.
По материалам: AthleticPharma.com





